| NO COVID-19 Shroud Over Injury |
| 送交者: 王利民 2020年12月29日10:27:11 于 [天下论坛] 发送悄悄话 |
|
Limin Wang 136-09 59th Ave Flushing, NY 11355 U.S.A.
The Pursuit of Justice ---Please Do Not Mistreat The Serious Injuries On Me With Your COVID-19 Shroud!
December 29, 2020, Tuesday
by Limin Wang, the Injured Worker/Patient/Victim
Re: NYS WCB Case# G2029240
Dr. Mehrdad Golzad, Ms. Faselis Mena of NYCMNO, NYS WCB, Queens DA, NY Courts,
I was having an appointment of Dec. 22, 2020, 15:30 with New York City Medical & Diagnostic Center (91-31 Queens Blvd, Suite 601, Elmhurst, NY 11373. Tel: (718) 454-2222). NYCMNO, not a respiratory clinic but staying always open during the so-called COVID-19 pandemic, accused me as if a COVID-19 patient and thus refused to provide even a sham follow-up check on my serious traumatic brain injury, part of the serious traumatic injury, while the brought-up key issues to them had never been addressed.
Before my arrival on 12/22/2020, I called and emailed NYCMNO about 1) some presumably important RAW and ANALYSED data of the Mar. 05, 2018 neurological tests (by NYCMNO’s medical reports, namely Computerized Dynamic Posturography, Vestibular Evoked Myogenic Potential, Videonystagmography, Otoacoustic Emissions) and the Mar. 15, 2018 EEG&EKG test, both done with electronic instruments; 2) for the full medical report of my last visit on Sept. 24, 2020. NYCNMO did not pick up the phone or reply by email. After I arrived, NYCMNO front desk Jennyfer only helped to print out the single-sheet narrative report of my 09/24/2020 visit, but would not print or bring me the corresponding C-4.2 report. The intake forms on the 12/22/2020 visit have both the Headache Disability Index form and the first-time demanding while untitled questionnaire sheet about COVID-19. Jennyfer first infrared-measured my forehead temperature and wrote down 96.6 on the Temperature line on the COVID-19 sheet before she handed me the DIRTY clipboard. Around this time, Jennyfer asked whether I had visited an ophthalmologist and a psychiatrist. I answered her that I could not find an ophthalmologist through such a Workers' Compensation Board (WCB) system and I do not know what a psychiatrist is good for although I have psychiatric issues because of all the unsolved Workers’ Comp (WC) issues.
For the eye doctor, I have attempted to find the Dr. Alfred J. Nadel referred in the summer of 2018 by the pretty-looking young white lady who did NOT have a business card to indicate a real employment at NYCMNO and was later named as "Kristen Donchez" on some of the "medical reports". Ms. Donchez was gone from NYCMNO since probably the fall of 2018. Dr. Mehrdad Golzad prescribed medication Fioricet on Mar. 05, 2018, and Fioricet gave me terrible EXTRA heart pain, and around then Ms. Donchez kept attempting to frame my severe headache, dizziness, drowsiness, etc on my heart as the culprit and kept prescribing me with many directly-delivered harmful or even deadly "medications". I had sensed a lot of the system’s systematic murderous fraud, so I went to 10740 Queens Blvd, Suite 202, Forest Hills, NY 11375, and I didn't see the name of any size anywhere there for an online-described senior ophthalmologist Dr. Alfred J. Nadel, so later the appointment with "Dr. Alfred J. Nadel" did not happen at Queens or anywhere else. About the SYSTEMATIC MURDEROUS FRAUD, here a tip of the scumberg on the real identity and behavior of "Dr. Benjamin S. Uh" and "Dr. Mitchell L. Kaphan" at New York Medical & Diagnostic Center (80-46 Kew Gardens Rd, Kew Gardens, NY 11415. Tel: (718) 261-1000. https://www.nymdc.com ): the former could not even be up to a SHAM "telephonic deposition" by WCLJ Mr. Lucky Enobakhare for almost a year in 2020, and the always masked and non-talking and no-signature "Dr. Mitchell L. Kaphan" in year 2018 seemed to have died in March 2019 according to a found ONLINE obituary namely on New York Times. In 2019, I again searched for WCB-authorized ophthalmologists, including AJN as well as other ophthalmologists in Retina Associates in New York, and for many reasons including language barrier CLAIMED by providers, I didn't even get an appointment with any of them. SUCH DENIAL OF SERVICE BY PHYSICIANS’ OFFICES OF MULTIPLE SPECIALTIES IN SUCH A MEDICAL SYSTEM IS THE REAL AND PERSISTENT EPIDEMIC, IF NOT PANDEMIC, AND THEN THE FRAUDULENT LEGAL SYSTEM OF JUDGES AND LAWYERS SHAMELESSLY “DECIDES” THAT THERE IS “NO MEDICAL EVIDENCE” ON THE INJURED VICTIM. IT’S A SYSTEM OF SHEER EVIL, HUMANSCUMS RUTHLESSLY RULING AND RUINING HUMANS. When Ms. Hyesim Moon in NYCMNO on June 23, 2020 referred me to the eye doctor new in NYCMNO, the front desk woman first neglected that referral and just gave me the next neurology appointment for 09/24/2020, apparently 90 days/3 months BEYOND the time span set by NYS WCB for continuous treatment. Upon my asking, the FT woman then added the appointment of Aug. 07, 2020, 1:00 pm with Anne Reuter-Hanna (shown on business-card as an O.D. and specialty on TBI OPTOMETRY). Because of NYCMNO's PERSISTENT REFUSAL to give me a copy of RAW and ANALYZED DATA of the Mar. 05 & 15, 2018 tests, described above, since my request from early summer of 2018, and NYCMNO's claim of the test results "normal", I do NOT want NYCMNO another probable SHAM AND SHAME chance to treat the visionary system injury by only claiming “normal” on "medical reports". Additionally, "TBI OPTOMETRY" is only "optometry", not ophthalmology. If my physical and physiological and psychological injuries had been honestly diagnosed and properly treated, my secondary psychiatric suffering wouldn't have been so severe too! IME doctor “Robert S. April” seemed to be a psychiatrist too, and the SYSTEM used him to PROFESSIONALLY INFLICT psychiatric assaults in his “medical examination” and “medical reports”. My wife Li Li had been showing mild psychological disorder due to her unsustainable struggle at work, and deserted me and the children twice for many months in 2014 & 2015. Human scums, including her elder sister ChunLing Li (a smuggled immigrant and “legal” U.S. citizen), psychiatrists, consultants, Christians, bankers, government agencies like police, all induced and abetted her desertion. She took “medications” and “educations” while spending the old savings on her rent in basement or attic and on all other necessities without working to earn any cent during these months. Back came she as a severe PSYCHOPATH almost daily to me and the children, completely unable to live together as a family or work outside for a living. When I called 911 on Jun. 30, 2018, police created scenarios attempting to shoot and kill me at my rent place, and hospital “physicians” would like her to undress probably for “domestic violence” signs or professional violence treatments without any family member at the scene. I hope this long branch paragraph can explain a bit to any self-diagnosed non-psychiatric in NYCMNO or anywhere about their (general) referral to eye doctor and psychiatrist, and generally about the CANNIBALISTIC HUMAN ECOSYSTEM. It is what it is, and they are what they are.
After I finished both sheets, took photos (attached images #1, 2), and then handed back to Jennyfer, she started to act with psychiatric symptoms by shrieking me the injured worker as if with COVID-19 because she judged what I had written at the bottom of the COVID-19 questionnaire as symptoms EXCLUSIVELY of COVID-19, and then she immediately declared NYCMNO can NOT see me until I get a COVID-19 test somewhere. I told her that such symptoms of hyperventilation, whole chest front and lungs pain, loss of smell most of the time, the tongue front feeling numb and weird, etc, have started from the Date Of Injury, and it's only that the NYCMNO nurses or physicians NEVER showed care to know my symptoms. I told her to ask a neurologist inside whether a victim would have such symptoms if the brain (stem) is injured. Soon, out came a white-coat lady who had as a PHYSICIAN seen me in the very beginning visit in the afternoon of Feb. 14, 2018 and later some other times in NYCMNO. Her name has NEVER showed up in any "medical reports" or on a white coat, and she answered me that there is no business card of hers on the front desk. I asked for her to write down her name, and she is now known to me as Myla Macapia, M.D. Ms. Macapia would then soon leave before she finished pronouncing her name letter by letter for me. No other nurse or physician came out to differentiate "honestly diagnosed COVID-19" and "symptoms flagged as COVID-19". All other "patients" in the waiting area had unnoticedly disappeared when this dispute started. Then Jennyfer threatened me with calling security and even 911, and ridiculously asserted me as a danger to them! Two handymen-like quickly showed up and the fat one simply urged me to leave. No explanation would be understood by him. I again asked for a C-4.2 printout of the 09/24/2020 visit before my leaving. Jennyfer claimed to send it to me via email. I told her that NYCMNO had NEVER sent me the "medical reports" by attachment files like pdf! At the end, it's only ANOTHER PAINFUL, DISGUSTING and RISKY experience at the supposedly "TREATING" clinic NYCMNO, but at a higher level and a pugnacious way.
In the very beginning, I came to NYCMNO as an injured-worker patient only because of the referral of my former WC “representation” from Bangel, Cohen & Falconetti, LLP (91-31 Queens Blvd, Suite 400, Elmhurst, NY 11373, Tel: (718) 446-4400. https://www.bcfcomplaw.com ), NYCMNO’s business partner in the same small building. Due to all their trickery and treachery embedded and unsolved, I parted my way with BCF after the perpetrators’ orchestrated Feb. 01, 2019 Hearing drama of "no medical evidence". NYCMNO, including Dr. Mehrdad Golzad himself, have since been more and more hostile to me. After I have learned a little about injury and neurology from independent and open resources, I find out the SHAM diagnoses and treatments from NYCNMO have actually started from my very first visit in the afternoon of Feb. 14, 2018 there. More than being SHAM, the NYCMNO diagnoses and treatments can be called as SHAME and CRIME from the VERY BEGINNING, because NYCMNO LAUNDRIED and DISTORTED SO MUCH through the so-called "medical reports" from NYCMNO and its business partner Alpha 3-T MRI, while NYCMNO and Alpha 3-T should have actually known from their tests by instruments including MRI that I have sustained SERIOUS physical injury to my Central Nervous System and other body sites. Also, the “medications” could actually have been prescribed intentionally for the serious or lethal RISKS to me, which were NEVER discussed ANY BIT to me, than for the benefits. NYCMNO continued its provision of SHAM diagnoses with so much and so long resistance to a referral for a 2nd MRI on head, and SHAME and CRIME treatments by further prescribing deadly “medications” or generating excuses for the defense’s “IME” assaults to me.
By the first hearing on Mar. 12, 2018, the eCase Folder of this NYS WCB case #G2029240 LATER showed a WHOPPING ONLY ONE REPORT (Doc# 300610033, a two-page narrative of the 02/14/2018 visit from NYCMNO) from the two BOOMING medical clinics referred by BCF and seemingly emailed by BCF to NYS WCB. SURELY, THE CORRUPT-THROUGHOUT NYS WCB HAS SHOWN ABSOLUTELY CLEAR EVIDENCE OF VARIOUS KINDS OF TAMPERING WITH THE eCASE FILES TOO, ALONE OR TOGETHER WITH “MY” “MEDICAL PROVIDERS” AND EVEN WITH “MY” “REPRESENTATION” “LAWYER”. How the WCLJ Mr. Anthony Golden, defense’s lawyer Ms. Dana Sabghir, and “my” lawyer Mr. Matthew T. Swansen reached that kind of Decision (Doc#300947039) on the Mar. 12, 2018 hearing? WHERE WAS THE SO-CALLED MEDICAL REPORT OF “DR. UH” BY THEN FOR WCLJ TO JUDGE MY NECK AND LEFT ELBOW AS DISPUTABLE INJURY SITES??? IT’S ONLY BECAUSE OF SUCH CORRUPT GOVERNMENT SYSTEM THAT ALL KINDS OF BUSINESSES INCLUDING BOGUS EMPLOYER PEO’S, INSURANCES, TPA’S, LAW FIRMS, MEDICAL PROVIDERS CAN WANTONLY RUTHLESSLY DO WHATEVER THEY WANT TO DO ABOUT THE INJURED SLAVE AND DO WHATEVER THEY WANT TO DO ABOUT THE FILES INCLUDING THE “MEDICAL REPORTS”. GARBAGE-QUALITY and/or DELIBERATELY-CONFUSING “medical reports” may be dumped in loads or may not even show up in the WC case folder for years, and then the powers in this ridiculous WC system regardlessly pretend to follow “legal proceedings” to accuse the victim me of not providing the “medical reports” or “medical evidence”, while the victim me isn’t even allowed or acknowledged of knowing any bit of “legal proceedings”. The perpetrators are so BRAZEN that they coordinated to stage a drama of “no updated medical evidence” or even “no medical evidence” right in front of me and into the Decision on the Feb. 01, 2019 hearing; and that since then the “medical reports” would RARELY be shown up as directly from the “treating” clinics to the WCB case file; and that occasionally something directly from NYCMNO showed up only for intentionally twisted “evidence”.
The 02/14/2018 medical report of the version (Doc#304906466, WCB Received Date 05/22/2018, images 3 to 10) has eight pages. I just try to argue on some OBVIOUS points. It’s my FIRST VISIT to NYCMNO, why a C-4.2 form was used instead of a C-4.0? Isn’t the instruction on the head section of C-4.2 brief and clear? Why the section of “Employer’s Insurance Carrier” is filled as “APPLIED UNDERWRITERS, P.O.Box 3804, OMAHA, NE 68103-”? NYS WCB and/or BCF gave off this kind of ANOTHER “insurance” “information” to NYCMNO? Why the name of Angelica Flores-Arman, a Ph.D. in psychology but PREMEDITATEDLY and COORDINATELY designated here as in NEUROLOGY, was printed on the C-4.0 (Doc# 304906470, WCB received date 05/22/2018, images 11 - 14) about her ONLY time of examining me, on 02/26/2018, without a signature or any attachment file? Where was her narrative report? Including any of the neuropsychological tests done on paper or on computer? Why the basic information supposed to be known about this NYS WCB case G2029240 or the medical provider’s own identification info with NYS WCB is OFTEN MISSING OR MISREPRESENTED on medical reports C-4.0 or C-4.2’s? In the afternoon of Feb. 14, 2018, I was told to wait outside to buy coffee and lunch, and I needed to fill in the intake forms, and I think I was NOT examined for that many hours in NYCMNO that day. Was the Babinski test done correctly? On only one foot actually or two feet? What actually was examined about the twelve cranial nerves for NYCMNO to state “unremarkable”? While Ms. Myla Macapia was in the main role of a physician seeing me on 02/14/2018, why her name was NEVER shown up on any “medical reports” in case G2029240? What is the real name of the person who administered the MoCA test? “Fox Fender what?” Please check my answer of the Rey 15 test with the original Rey 15 which is searchable online, isn’t the reported result 15/15 VERY MISINFORMATIONAL? Ms. Kristen Donchez was NOT present during the 02/14/2018 visit, why THIS VERSION of the 02/14/2018 medical report ADDED her name and signature on the MoCA test report? Regardless of the many doubts, including the doubt on NO INTRACRANIAL BLEEDING found by the 02/15/2018 head MRI (images 15 - 16), I still appreciate your referral and the availability of a next day head MRI at Alpha 3T MRI (145 East 32nd St., Ground Flr., New York, NY 10016-6055. Tel: (212) 868-9210. https://www.nymri.com ). Without a referral, no way for me to get an MRI in this “free” world! And that also contributes to why I react so strongly to NYCMNO’s cancellation of the 12/22/2020 appointment via its excuse of COVID-19, because I WAS EXPECTING TO GET A REFERRAL FOR A FOLLOW-UP HEAD MRI AT SOMEWHERE NOT NECESSARILY Alpha 3T MRI. MY CONSTANT AND SEVERE SYMPTOMS ALL OVER MY BODY, INCLUDING THE WHOLE HEAD, NOT JUST THE WHOLE BRAIN, NEED A FOLLOW-UP MRI. I even appeal to foreign countries like Russia for honest and clear MRI.
About the “medical reports” of the above-mentioned March 05 & 15, 2018 tests, they are also so SUSPICIOUS. They are also multiple-versioned in the case G2029240. One version (Doc# 304906471, WCB Received Date 05/22/2018) of the Mar. 05, 2018 neurological test named Mehrdad Golzad as the Medical Provider but INTENTIONALLY mis-input Jan. 05, 2018 as the Medical Service Date on the CHART of eCase Folder. Jan. 05, 2018 is ahead of Jan. 16, 2018, the established Date of Injury. The “medical report” (Doc#304906467, WCB Received Date 05/22/2018, images 17 - 21) of the Mar. 05, 2018 set of NEUROLOGICAL TESTS were INTENTIONALLY TWISTED with Angelica Flores-Arman, a Psychology Ph.D. mislabeled as a NEUROLOGY M.D. without a signature and as the medical provider on the C-4.2, while the attached narrative reports of NEUROLOGICAL TESTS were CLAIMING EVERYTHING NORMAL and actually signed by Mehrdad Golzad, M.D. There was at least something manipulated and fabricated by the Indian-looking male technician during this set of tests for NYCMNO to claim findings of “normal”, for example, he was holding my left-shoulder tight while I was already on straps for safety during the Computerized Dynamic Posturography. The conspirators, all my enemies, including the new WCLJ, Mr. Lucky Enobakhare (a blackman often with a difficult accent and/or speed, especially when talking to me), LATER in April to June of 2019, wanted to call Avraham C. Schweiger and Chiyoko Kobaya Frank, both Psychology Ph.D.’s, as NEUROLOGY M.D.’s, but to leave out Mehrdad Golzad, an actual NEUROLOGY M.D. claimed to be a NURSE by the defense’s pretty young white woman lawyer Ms. Dana Sabghir (Jones | Jones, LLC, 5 Hanover Square #1001, New York, NY 10004. Tel: (212) 776-1808. https://jonesjonesllc.com ) for the deposition on June 10, 2019. I pointed out their mis-labelling problem on the May, 06, 2019 Hearing, but NYCMNO conspiring with their conspirators abruptly cancelled the May 20, 2019 medical appointment upon my arrival and later suddenly called for a June 10, 2019 appointment OVERLAPPED with the June 10, 2019 Hearing. When I arrived at the NYS WCB Queens Offices by bus about twenty-minutes late for the June 10, 2019 Hearing, these humanscums, with a BCF attorney, professionally taunted me and then claimed the hearing was already over. They can “righteously” let me wait for hours beyond the scheduled time before a SHAM AND SHAME minute-long hearing, no matter when I had or have no BCF as my “representation”. And, THEY BLAMED ON ME FOR THE CANCELLED “TELEPHONIC DEPOSITION” ACTUALLY CANCELLED BY THEM JUST MINUTES AFTER I ARRIVED! Check what kind of telephonic trash deposition it was on the July 24, Oct. 02, and Dec. 01, 2020 Virtual Hearings, where I was only to HEAR OR OVERHEAR what they crapped in a HEARING!!! It is what it is, and they are what they are!
The “medical report” (Doc#304906468, WCB received date 05/22/2018, images 22 – 25) of the Mar. 15, 2018 EEG&EKG test was also claiming EVERYTHING NORMAL, WHILE DURING THIS TEST MY HEAD SYMPTOMS AND HEART PAIN WERE SEVERE. Its C-4.2 only charged for the physician seeing, not including the EEG&EKG test, and the diagnosis code area has “F07.81 postconcussional syndrome”, “S06.0X1A Concussion w LOC of 30 minutes or less, init”, out of total four codes. However, on this 03/15/2018 report’s narrative, Dr. Mehrdad Golzad’s Impression is “Traumatic brain injury”, changed from “Postconcussion syndrome. Rule out traumatic brain injury” on his 02/14/2018 narrative. Also, compare the average pulse rate 88 found by EKG and the pulse rate 78 soon found by regular automatic pulse measurement device in the same morning. Another version (Doc# 304645207, WCB Received Date 05/16/2018, images 26 - 28) shows clear C-4.2 with expensive charge on EEG&EKG, but very BLURRY narrative of the EEG&EKG. TENS OF THE PAGES FAXED ON 05/16/2018 SEEMED TO HAVE DISAPPEARED AND NYS WCB DID NOT WIELD ITS STAMP OF “MISSING PAGES” ON ANY LEFT-OVER PAGES, AND THE LEFT-OVER NARRATIVE PAGES ARE ALL SO BLURRY. THIS KIND OF RECORD KEEPING BY SUCH GOVERNMENT AGENCIES IS STILL TRUSTWORTHY?
NYCMNO’s refusal to give me a copy of the RAW and ANAYLYZED DATA of the above-mentioned Mar. 05, & 15, 2018 tests came in different manners. They were often rude while refusing. I have asked for such original data since the early summer of 2018. NYCMNO cited HIPAA to reject the patient’s own request of medical record. In year 2020, Ms. Faselis Mena of NYCMNO medical record personnel replied my emails. NYCMNO CLEARLY WANTED TO CONFUSE ME WITH MEDICAL TERMS SUCH AS NEUROLOGY, PSYCHOLOGY, AND NEUROPSYCHOLOGY, WITH DIFFERENT THINGS DONE AT THE SAME DATES, AND EVEN WITH ENGLISH LANGUAGE USAGE, WHILE THEIR DENIAL OF ORIGINAL DATA (TRUTH) STAYS (images 29 - 31). Ms. Mena wrote, “Also, we are prohibited (“prohibited” red-colored & -underlined) to release RAW DATA to anyone besides another LICENSED psychologist can request your RAW DATA.” Besides, Ms. Faselis Mena claimed that NYCMNO’s ONLY way to provide me the “medical reports” through email is for me to click a suspicious online Download button in the email (images 32 - 33), and these emails shared by me to NYS WCB were converted to a case Document (Doc# 345998774, one-page only, WCB Received Date 09/23/2020) with the Download button area GONE, and another Document (Doc# 346045172, three-pages, WCB Received Date 09/24/2020) with the Download button shown along with a long weblink beginning with https://protect2.fireeye.com. Before, NYCMNO clearly had shown transmitting my medical reports with OTHERS via pdf file attachment! Check the NYS Workers’ Compensation Law online, if it’s clickable on your computer, or just the brief instruction in the head section of form C-4.2 about filing and providing medical reports. If a “medical provider” or a “Workers’ Compensation Board” can NOT even hold the responsibility of submitting “medical reports” on the CORRECT party, what kind of JUDICIAL OR MEDICAL SYSTEM it is to the powerless slave victim/patient being RUINED BY SUCH SHAMELESS LEGAL RULINGS (NYS WCB Decision of 03/27/2020 Hearing, images 34 - 35)? Also as shown by the FALSE AND FAULTY statement “The Claimant’s absence is excused due to COVD-19 emergency.” in this Decision of 03/27/2020 Virtual Hearing, the perpetrators have premeditatedly and coordinatingly shown VARIOUS signs to FRAME me with COVID-19.
More than covering-up the real physical injuries, "treating clinics" like NYCMNO and NYMDC, both referred by BCF, INTENTIONALLY CREATE "DISEASES" on me for the perpetrators’ evil play in later stages of this NYS WCB case G2029240 or in a possible personal injury case or criminal case, IF I HAVE NOT BEEN PHYSICALLY, CHEMICALLY, AND/OR PSYCHOLOGICALLY MURDERED TO QUICK OR SUDDEN COMPLETE DEATH UNDER THEIR DISGUISE OF PROFESSIONAL “DIAGNOSES” AND “TREATMENTS”. NYCMNO had tried to blame my head symptoms on my heart since the very beginning, and then to shame me on psychiatry, and later to frame my symptoms on COVID-19. Since the Feb. 01, 2019 Hearing drama of “no updated medical evidence” or even “no medical evidence”, I found ONLY THREE “medical reports” appeared to be submitted directly by NYCMNO to NYS WCB, and the purposes of such “medical reports” are strongly believed to be ILL-MINDED and MISLEADING. Two of these three (Doc# 341039485, and 341039486, images 36 - 43) were shown with a WCB Received Date of 05/27/2020, about the ~40 minutes/session “cognitive therapy” ONLY ON A COMPUTER in Suite 611 of NYCMNO on 06/25/2018 and 09/26/2018. Each of these two “medical reports” includes a third sheet which was asked by their front desk for me to PRACTICALLY ONLY SIGN on it and LEAVE THE REST OF THE FORM upon to NYCMNO but there was practically NO DIRECT INTERACTION between a provider and a patient, and there was NO OTHER WAY for a patient to report his/her symptoms or complaints to NYCMNO if he/she didn’t provide any bit of written information on THE OTHER SHEET coming together during each sign-in at the front-desk for such “cognitive therapy” at a room inside. I usually wrote on the other sign-in sheet a little bit of the main symptoms about head only, because NYCMNO said many times it only takes care of the brain, not even the whole head, not the spine or other body sites. In the beginning, I used to mark some “X” on the allowed top-section of the first sign-in sheet, and later I was SPECIFICLY told by Suite 611 front-desk to ONLY sign my name but NOT to mark any box. The SIMULTANEOUS presence of such two “medical reports” in NYS WCB eCase Folder almost TWO YEARS LATER seems to show NYCMNO’s INTENTIONAL FAKE “EVIDENCE”: 1. That the patient me had a lot of Mood on 06/25/2018 and then no more such Mood but some COVID-19 SYMPTOM like FEVER on 09/26/2018; 2. That the patient me had NO COMPLAINTS OR SYMPTOMS other than THEIR marked Symptoms of Concentration reduction, Memory loss, and Executive function deficit. Their service charge and narrative report appear to present that AS IF there were a direct examination by a provider or EVEN TWO PROVIDERS on me the patient each time. The short single line of “Subjective” in the narrative was only a DOCTORED version of my hasty jotting of some symptoms on the other sign-in sheet. Why NYCNMO not simply include the other sheet in their “medical report”? Actually, the “Subjective” complaints even in the written form, or some paper tests results, or my answers in their Intake forms, etc, have RARELY been taken or considered by such a CONDESCENDING medical system and IRRESPONSIBLE legal system. It is what it is, and they are what they are!
Such a MEDICAL SYSTEM may SYSTEMATICALLY serve not only DENIAL, DELAY, DELETION, DISTORTION, and DISEASE but also DISABILITY and even DEMISE! What NYMDC, the other clinic referred by “my” “representation” law firm BCF, has heinously and ruthlessly done on me since the VERY FIRST VISITS will be exposed separately. By NYCMNO, I have been prescribed many medications, roughly by temporal order, Boswella, Fioricet, Sumatriptan succinate, Topiramate, Rizatriptan Benzoa, Celecoxib, Magnesium Oxide, Balcofen, Amantadine, Gabapentin, and Melatonin. When they were prescribed, NYCMNO might say or answer the medications are for “headaches”, or might not say ANYTHING about them, leaving alone discussing (possible) (severe) (side) effects with me. In 2018, NYCMNO’s prescription medications, except the few capsules of sample Boswella given directly by NYCMNO, were directly delivered to my residence from their business partner Custom Rx Pharmacy, LLC (102-03A, Queens Blvd, Forest Hills, NY 11375. Tel: (718) 830-4500. www.customrxnyc.com ). No authorization seemed to be required or no obstacle in authorization was met by NYCMNO or Custom Rx. Custom Rx punched away the prices off on the tags on the deliveries, and sometimes the delivery simply left the paper bag of medications in the shared and unlocked mailbox outside, without even calling or leaving a message. Later, I found in eCase Folder the medication charges were hefty. These medications actually caused severe (side), LETHAL if not stopped by myself, effects to my vital visceral organs like heart, liver, stomach, belly, etc, while the head symptoms didn’t mitigate at all or got worse probably partially because of them. When I rejected NYCMNO’s pushing of simultaneously multiple medications and such delivery, and later asked to send their single prescription to a common pharmacy, now the problem of authorization popped up. When I asked the common pharmacy what Amantadine is usually for, I was told it is usually for FLU! Amantadine was not authorized. When Gabapentin, prescribed by Hyesim Moon for my “headaches” while without telling or discussing its side effect at all, was authorized by the “Insurance/TPA CCMSI” or actually by the bogus employer TriNet SOI or its subsidiary myMatrixx, it turned out to be potently LETHAL again! Only the Melatonin was kind of discussed with me upon my DOUBT when recommended by Ms. Hyesim Moon in NYCMNO. WHILE THE SEVERE (SIDE) EFFECTS OF SUCH MEDICATIONS WERE ACTUALLY NEVER DISCUSSED WITH ME, SOME “MEDICAL REPORTS”, WHEN CLAIMING, STATED OTHERWISE. If physicians had really not found the serious physical injuries on my head and spine and other symptomatic body sites by MRI, X-ray, EEG&EKG, and any other un-meaningless instrumental or manual techniques, why the EVIL SYSTEM OF PREMEDITATED AND COORDINATED PERPETRATORS kept prescribing and giving potentially deadly “medications”? Why the perpetrators tried to take away or ruin the partial RAW DATA already on my possession when I was going for other SCARCELY-ACCEPTING “treating” physicians or sent for the “Independent Medical Examination” by humanscums like “Dr. Robert S. April”? Why the humanscums continuously want to murder me with their bogus “diagnoses” and “treatments” instead of simply and honestly showing the real RAW DATA, including unaltered or undeleted Radiographic Images to support “no physical injury”? Why the perpetrators would use all kinds of humanscum lies to prevent me from getting an MRI from a place probably less of their direct control or from getting the real and complete copy of data of my done MRI? BECAUSE BUREAUCRATIC AND PROFESSIONAL MURDERERS PERSISTENTLY LIE AND WANT ME THE ONLINE ADVOCATE OF TRUE COMMUNISM TO DIE, AND THAT’S THE MOST PLAUSIBLE REASON WHY I AND MY FAMILY SUFFER SO MANY ATROCITIES AT WORK, AT RESIDENCE, AND POTENTIALLY AT ANYWHERE ANYTIME.
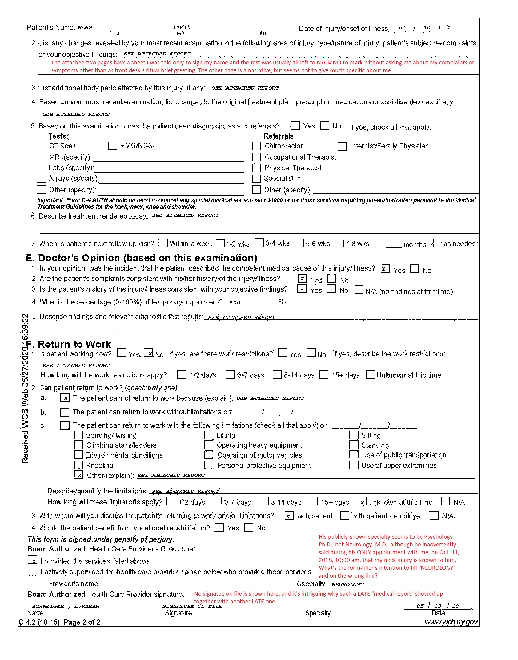
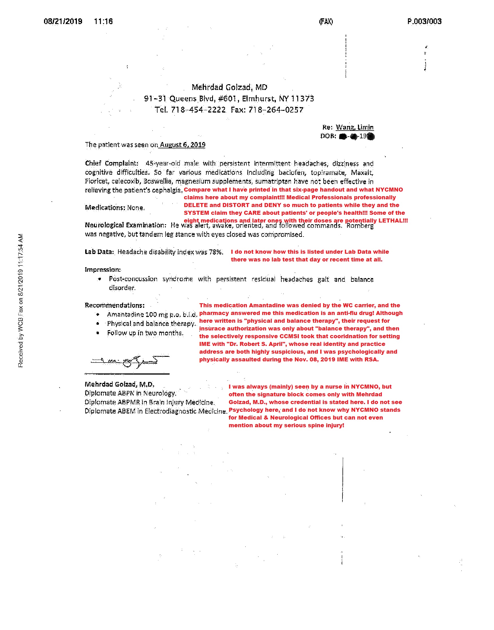
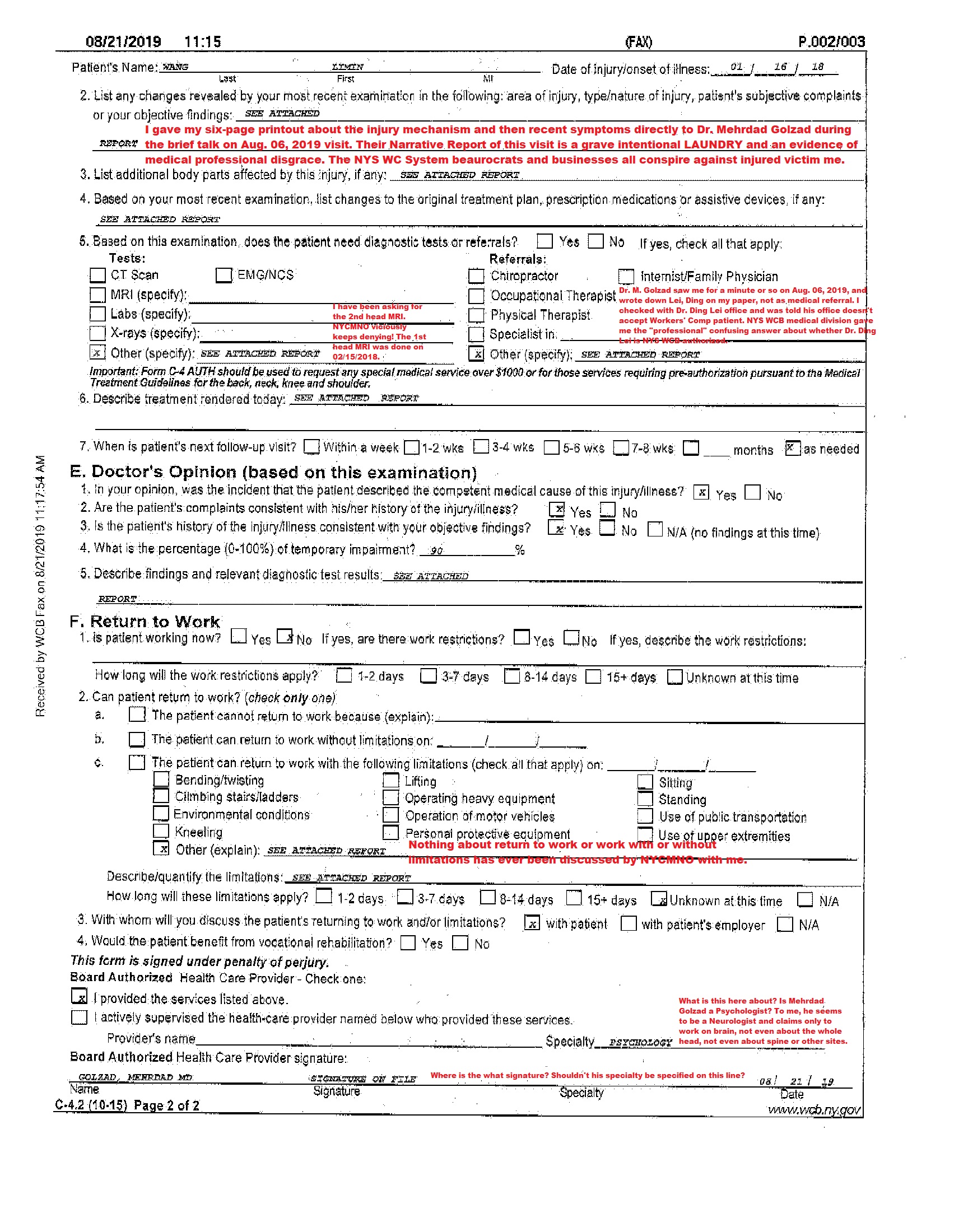
About the injury mechanism and my then current symptoms, I had written down and included as the first page in NYS WCB eCase Folder Doc# 324974600 submitted on June 10, 2019 and the five-page Doc# 325938598 submitted on June 27, 2019, because all other parties from government agencies to businesses to individuals, from judges to lawyers to adjusters to medical professionals RARELY show their capacity and patience to even allow the victim/claimant/patient to tell, leaving alone to complain, and then they claim whatever in their “objective” “medical” reports, “legal” files, and “just” decisions. IT IS SO CRUELLY TRUE OF THIS EVIL SYSTEM OFTEN SHAMELESSLY PROPAGANDAED AS A JUSTICE SYSTEM AND A CARE SYSTEM. During my visit on Aug. 06, 2019 to Suite 601 at NYCMNO, Dr. Mehrdad Golzad only stopped by for a minute or so, and accepted my six-page print-out about the injury mechanism and my overall symptoms (images 44 to 49). On the 03/14/2019 visit, Dr. Mehrdad Golzad refused to look into the deck of MRI and X-ray image printouts I brought with, and the 03/14/2019 “medical report” (Doc# 321819924, sent by me to WCB, images 50-51) stated “A total of 60 minutes were spent in face-to-face with the patient and in time spent interpreting and preparing the attached report.” while the reality is I was psychologically and behaviorally shunned to WAIT FOR HOURS, including alone in an exam room with its door closed by Dr. Mehrdad Golzad. Many UGLY things happened between other Parties Of Interest and me on 03/14/2019. My symptoms now claimed as "COVID-19 symptoms" by NYCMNO were CLEARLY WRITTEN down in that 6-page printout to Dr. Mehrdad Golzad on Aug. 06, 2019. Then please look at how NYCMNO stated in the Aug. 06, 2019 "medical report" (Dec#328507982, Medical Service Date 08/06/2019, WCB Received Date 08/21/2019, images 52 – 54). There was NO actual May 03, 2019 visit to Dr. Mehrdad Golzad, as claimed by the C-4.2 (image 52). There were actual visits on April 29, 2019 and May 03, 2019 to Chiyoko Kobaya Frank, Psychology Ph.D., in Suite 611 at NYCMNO, both requested by NYCMNO, but by the end of 2020 there has been NO “medical reports” of these two visits submitted by NYCMNO to NYS WCB. The actual May 20, 2019 appointment was abruptly CANCELLED by NYCNMO when I arrived for the appointment, very likely in conspiracy with the NYS WCB Medical Director's Office. JUST LIKE ON THE “MEDICAL RECORD”, “MEDICAL PROFESSIONALS” AND ALL OTHER POWERS IN SUCH A MEDICAL AND LEGAL SYSTEM WANTONLY PLAY ON THE “APPOINTMENT”, AGAINST THE PATIENT, IN THIS CASE, AN INJURED WORKER/VICTIM. THEY ARE SO EVILLY VICIOUS. I was naively looking for help from supposedly righteous and knowledgeable WCB MDO, but its email was later understood to be a CLEAR TAUNTING on me! In late August 2019, when I asked NYCMNO to give me a C-4.2 of the Aug. 06, 2019 visit with at least the BASIC INFORMATION like date of examination CORRECT, NYCMNO’s so-called “billing company” guy Joel Friedman (joel@billingexpress.net) emailed with Ms. Faselis Mena, and Mena gave me the PRINTOUTS of the CORRECTED C-4.2 as well as her emails with NYCMNO’s “billing company”. The former printout was shockingly blank on many places although 05/03/2019 was CORRECTED to 08/06/2019. The latter printout clearly shows that NYCMNO COULD provide me the narrative and C-4.2 reports via email attachment as pdf files, but they JUST will not do to an injured-worker patient. “Joel Friedman” even warned Ms. Faselis Mena to IMMEDIATELY DELETE these emails. THE EVIL SYSTEM MAY “LEGALLY” DEFINE WHAT IS LEGAL AND WHAT IS ILLEGAL. I then converted the five-pages printouts into an electronic version, and directly uploaded to NYS WCB (Doc# 4000086966, WCB Received Date Aug 30, 2019, images 55 – 59). A lot of personnel in NYCMNO appear to be immigrants too, but RACE AND IMMIGRATION DO NOT MATTER or BETTER. IT’S THE CANNIBALISTS PREVALENT WHEN IN A CANNIBALISM SYSTEM.
Let’s have a little discuss of “COVID-19 symptoms” here, since the perpetrators try to utilize COVID-19 on me. The main-stream media propagandaed “COVID-19 symptoms” ALL existed for injuries or illnesses BEFORE the “COVID-19” was even coined in 2020! The trend-lines of the “reported” “COVID-19 test positives” and “COVID-19 mortality” in the U.S.A. or in the world did NOT correlate for many consecutive months until recently the systematic murderous fraudsters have known the serious doubt brought up by serious doubters and have then tried to make the lines correlate! Tens of millions of people worldwide die each and every year due to causes, and the mortality lines worldwide are practically STRAIGHT lines. The mortality in countries adopting herd immunity does not see a spike in 2020. In my personal life experience, I have witnessed or known medical clinics like NYCMNO or NYMDC stay OPEN throughout the so-called “COVID-19 pandemic”. From my understanding, non-respiratory clinics stay OPEN to MAKE MONEY in the first place, and that medical professionals themselves do not get harm or death from “COVID-19” is mostly because “COVID-19” is actually not terrible at all. If airborne COV-2 were deadly, medical professionals are only money-making humans too, although with some specialty knowledge and special resource, and they would have died in piles too. Particularly on NYCMNO during my visits in 2020, I witnessed some “medical providers” there were coughing, frequently or not, really or fakely, and they took their masks off when I was the only patient left in NYCMNO! It is what it is, and they are what they are. I did not have a complaint about their hazardous or hostile behavior then. NOBODY in my interacting or witnessing sphere even showed with COVID-19. Plus, a family member living with me was being tested frequently for COVID-19 because of the external demand, and the test results were all negative, and I told this to NYCMNO during the argument on 12/22/2020. Judge who is the psychiatric! About my constant pain on the whole front chest wall and the lungs from the 01/16/2018 fall, Dr. Martin B. Gillman, a Jewish chiropractor, at NYMDC gave me his business card as “Dr. Martin B. Stillman” and suddenly sprayed some kind of powder to my chest and face area when I was following him to the X-ray room at the their basement floor on February 15, 2018, the very first day I visited NYMDC because of BCF’s referral. I had moments ago told “Dr. Martin B. Stillman” I don’t like X-ray and I need to go Manhattan for the afternoon brain MRI. AT LEAST AN OBLONG METALLIC PARTICLE WAS SHOWN ON MY THROAT’S INNER SURFACE ON THE 02/15/2018 X-RAY IMAGES AND SUCH A PARTICLE IN MY LUNGS ON THE MARCH 08, 2018 X-RAY IMAGES, BOTH TIME DONE AT NYMDC. I complained to NYS WCB and then, as instructed, to NYS DOH Office of Professional Medical Conducts about NYMDC’s DENIAL & DISTORTION of the OPEN-MOUTH view X-ray images, these NYS government agencies again and again showed MALFEASANCE and CORRUPTION.
If NYCMNO does want to honestly care about my serious injuries, even only about the brain, I would like to have a referral for a follow-up head MRI. It was so difficult and so patient a wait for me to get the 2nd referral of a brain MRI until Ms. Hyesim Moon yielded on my urge during the Nov. 26, 2019 visit at NYCMNO. The sequelae of the injury have become WORSE and BROADER, although the pattern of symptoms has some variation over the course of almost 3 years by now. In short, it’s severe traumatic head injury and tetraplegia symptomatic from the neck to all the rest of the body. To mention only a bit of particular injury sites here: all the 12 cranial nerves have been impaired, and the craniocervical junction area has serious damage. When I was holding that clipboard to answer the Headache Disability Index and the COVID-19 questionnaire in NYCMNO on Dec. 22, 2020, a ~one-inch wide pink band was glowing on the right next to a real green left edge of the clipboard in my vision for some episodes. It’s freaking horrifying! The magnesium oxide is NOT working, since the symptoms deteriorate, and it causes stomachache as I track down. Usually, the only neurological test during each appointment with NYCMNO is the Romberg test, and it’s still positive. I also have my ways to test dizziness. If COVID-19 is not NYCMNO’s excuse to avoid the HEALTH CARE on me, NYCMNO may take my this writing as a tele-medic visit in lieu of the 12/22/2020 appointment and give me the HEAD MRI referral (not specifically to Alpha 3-T MRI) and this visit’s medical report and C-4.2. If NYCMNO calls me, I would like to see its business phone (718) 454-2222 on my phone. Fraudsters fraud through phone too. In the past, often NYCMNO’s call came in as a suspicious (929) number. I would appreciate if NYCMNO picks up my call-in.
After the fury is released here a little, I do want to somewhat appreciate Dr. Mehrdad Golzad and NYCMNO. Humans live and make a living in systems of classes. I do not think Dr. Mehrdad Golzad or NYCMNO has the ORIGINAL intention to harm or kill me, but I do think the STATE TERRORISTS FROM STATES OR DEEP-STATES HAVE BEEN PREMEDITATING AND COORDINATING ALL AVAILABLE RESOUCES TO TORTURE, INJURE, AND MURDER ME AND MY FAMILY. So, if the online reviews about medical professionals and practices WERE ever real and really allowed for example on Google Review, I would like to write up a REASONABLE review about NYCMNO on “professional” websites.
If anyone considers himself or herself not as a part of a state terrorism, and has the authority or duty or capacity to investigate the crime, discover the truth, and render the justice, would you please show the courage and care and intelligence with action now? Since the Hearing on April 05, 2019, I have been appealing to governments or government agencies for three justices: 1) real diagnoses, including honest and high-resolution MRI on my head and whole spine, and proper treatments for a reasonably best and quickest possible health recovery as the medical benefit; 2) a full Workers’ Compensation at the total temporary disability level, with the annual inflation adjustment, since the Date of Injure January 16, 2018, until IF my health situation can get verifiably better, stable, and workable on some kind of available jobs; and 3) real investigation and punishment on perpetrators in this case of premeditated and coordinated murder-attempts first as workplace “accidents” and then as medical “diagnoses” and “treatments” on my life and living, for the sake of my fate and many others’. My report about the actual employer B.Q. Wide Auto Boby Parts Supply, Inc. (109-35 178th St., Jamaica, NY 11433. Tel: (718) 523-5555), not its headquarters company KSI Auto Parts or KSI Trading Corp (100 Wade Ave, South Plainfield, NJ 07080, Tel: (908) 754-7154, http://www.ksiautoparts.com/), or the bogus Professional Employment Organization TriNet | SOI yet, has been drafted and publicized, and the past Correspondences or online posts over the almost three years have sporadically brought up some issues about various Parties of Interest. The NYS WCB case G2029240 is at the control and manipulation of NYS WCB, and A TREMENDOUS AMOUNT OF EVIDENCE CAN BE DISCOVERED IN THAT G2029240 “RECORD”. Will the New York State System work on me the victim and a human for my sensible share of the system’s proclaimed care? Please. It’s probably harder to get the U.S.A. federal government’s or a foreign government’s attention, intention, and action. When I look at the news of President Donald J. Trump’s progress on his legal complaints about election frauds of the 2020 Presidential Election, I see no light throughout the tunnel I have been in. Give a little X’mas or New Year twinkle twinkle little star or start, please. P.S. The order of attached images has been found joggled LOCALLY. When I tried to fix the order, this website claimed some technical issue so nothing could be done about it.
|
|
|
![]() | |||
|
![]() |
| 实用资讯 | |
|
|
| 一周点击热帖 | 更多>> |
| 一周回复热帖 |
| 历史上的今天:回复热帖 |
| 2019: | 区别真假“毛泽东粉”的两大国际标准! | |
| 2019: | 台灣總統大選唯一辯論會,直播中場休息 | |
| 2018: | 美国的伟大之处是有自我修復的能力(转 | |
| 2018: | 两普齐撤吶喊叙战已大赢,米饿联手释突 | |
| 2017: | 毛时代不腐败吗? | |
| 2017: | 一些人鼓吹的“用朝鲜换台湾”何其荒谬 | |
| 2016: | 棒打阴沟里的老鼠是每个有良知的人类的 | |
| 2016: | 除了驱逐俄罗斯间谍,还要彻查内鬼! | |
| 2015: | 阿妞不牛:毕福剑复出春晚,真的惹猴急 | |
| 2015: | 到年末了,俺给习近平今年综合执政能力 | |
































































