| 科普计算:超新星为什么爆发 |
| 送交者: -YDX- 2011年10月05日23:42:37 于 [教育学术] 发送悄悄话 |
|
我在《2011诺贝尔物理奖: 恒 星是通过核聚变产生能量,由氢合成氦,再继续合成更重的元素,由此产生的热量、高温使恒星内部保持很高的压力。如果没有这种压力,恒星就会在自身引力作用 下收缩、变小。在恒星的氢、氦燃料烧完,变成碳与氧之后,其温度不足以引发更进一步的聚变,于是星体开始逐渐冷却,在引力作用下,开始收缩、变小,形成所 谓白矮星。在白矮星里,物质被大大的压缩,密度大大增加,一块糖大小的白矮星物质就有一吨。
白矮星温度虽然很低,但是由于里面的电子产生压力,这种压力对抗进一步的压缩。这是一种源自所谓泡利不相容原理的量子效应。
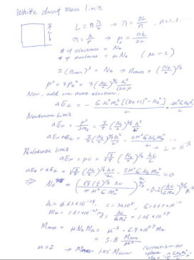
进一步考虑狭义相对论,科学家发现,如果白矮星质量超过一个极限,那么电子的压力也无法抵抗引力,白矮星会进一步收缩。这个收缩过程中会产生大量的热量,导致星体内部温度急剧升高,而引起碳、氧等元素进一步聚变,整个星体在极端的时间内爆炸。这就是Type Ia超新星。所有重元素,都是超新星爆发种产生的。人体里的那些重元素实际上都是超新星的遗迹。 一般白矮星刚形成的时候,质量低于这个称为钱德拉塞卡极限的数值,但是随后白矮星可能吸附星际物质,质量不断增加,一旦达到钱德拉塞卡极限,就会走上超新星爆发的不归之路。 下面我来计算一下白矮星的质量极限。为简单起见,我们用一个边长为L的立方盒子代替球状的星球。然后,我们往这个立方体里加入N个电子以及与之相应的质子与中子。这N个电子会产生压力,而质子、中子则是星体的质量的主要部分,产生引力。 量子理论告诉我们,所有的物体同时又是一种波,其波长a为普朗克常数h除以物体的动量p。换言之,物体的动量 因此, 现在,我们考虑往这个盒子里再增加一个电子与两个核子。一方面,这个电子会被放比(K,K,K)高一点点的能级上,这个能级对应的动量与N^1/3成正比,与L成反比。另一方面,增加的核子导致引力负能的增加。这个引力负能与星体的质量、也就与N成正比,与星体的大小L成反比。 如果电子速度远低于光速,根据牛顿力学,其动能E_k与动量的平方成正比,也就与N^2/3成正比,与L的平方成反比。因此,我们总可以通过减小L,让新增的动能与引力负能抵消。具体而言,L ~ N^(-1/3)。也就是说,星体质量越大,半径越小。 但是如果N足够大,电子的速度接近光速,那么其动能就近似等于动量乘以光速, E_k= p*c。因此,在相对论极限下,这个新增动能量与L成反比,与N^1/3成正比。而新增引力负能是与L成反比,与N成正比。其结果是,如果N大到一个数值,增加物质将导致星体的总机械能降低,而半径缩小再也无法扭转这个局面。其结果是,星体将走上继续收缩的不归路。用这个盒子模型,我得出星体的极限质量是 如前所述,在这个收缩过程中,引力能将被转化为热能,导致星体内的碳、氧元素进一步聚变。大约经过1000年的酝酿,一颗超新星就爆发了。
|
|
![]() |
![]() |
| 实用资讯 | |
|
|
| 一周点击热帖 | 更多>> |
| 一周回复热帖 |
| 历史上的今天:回复热帖 |
| 2010: | 《寻衅滋事手册(草案)》 | |
| 2010: | 如果肖传国真的打了方舟子, 我要说打 | |
| 2009: | 言真轻:从文化上讲,中国的六十年大庆 | |
| 2009: | aa881:英语优,汉字劣的铁证 | |
| 2008: | 专家们,这是真的吗? | |
| 2008: | aa88:再谈中国女人--兼答陈丹蕾 | |





