| 什么是时间? |
| 送交者: mingcheng99 2024年09月23日02:10:00 于 [五 味 斋] 发送悄悄话 |
|
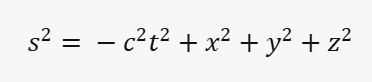
什么是时间? 这个问题比一般想象的要复杂得多,也有趣得多。时间的本质一直是一个有争议的问题。 例如, 时间是否是一个真实的客观存在,从古代一直争论到现在。 这是因为时间并没有通常意义上的实体,它不像其他物质实体,甚至不像微观世界里的量子一样可以直接测量,也不像空间那样可以有直观的印象。时间是一个看不见摸不着的概念,从而留下了许多哲学思辨的空间。在科学上,宇宙是否存在比时空更基本的结构,都是极具意义的问题。 时间的定义大致可以分为两类:科学的和哲学的。 科学时间牛顿第一次在科学的意义上定义了时间。牛顿强调了时间的均匀性和独立性。他把时间描述为一条均匀流逝的长河,这与人们的直觉相符。在牛顿力学中,时间被视为一个绝对的、连续的、单向的物理量,独立于物体和事件,甚至空间的存在。 牛顿的这个看似简单的时间定义在科学上带来了深远的影响。对应于绝对时间的是绝对空间,牛顿假设一个绝对的时间在一个绝对的空间中流逝。虽然牛顿并没有建立这两者之间的逻辑关系,但在他的物理学体系中,绝对时间和绝对空间为描述物体的运动提供了一个固定的参照框架。就如同一间无比大的房子,你虽然永远走不到它的边沿,但每一处的时间都是相同的,具有相同性质的空间同样地无限延展。在这个无限的绝对时空中,物体可以处于不同的运动状态,这样我们对运动的处理就有了一个坚实和清晰的背景。[1]。 绝对时空并不是从逻辑推导出来的科学原理。因此,即使在科学界,科学家们也一直对绝对时空有所争议。例如,绝对时空是否真正有必要存在,一直是一个有争议的问题。比较有代表性的是莱布尼兹的观点,莱布尼兹提出了基于哲学关系论的时空观。在这个观点中,空间是物体之间相对位置的表达,而时间是事件发生顺序的表达。如果没有物体和事件,空间和时间都没有意义。这显然是相对论时空观的思想雏形。 在莱布尼兹的哲学思想的基础上,并结合麦克斯韦方程组揭示的光速恒定性,爱因斯坦引入了四维时空的概念,将时间和空间结合为一个有机的整体。时间被视为第四维,与三维空间一起构成四维时空。在这个框架下,时间和空间不再是绝对的,而是相对的,取决于观察者的运动状态。 这个四维时空在数学上由闵可夫斯基空间表达。它不是一个简单的四维欧几里得空间,而是具有独特几何性质的时空结构。闵可夫斯基空间的几何性质与我们熟悉的欧几里得空间完全不同。在这个空间中,事件不再是在三维空间中独立于时间发生,而是与时间轴有机地结合成一个整体。 闵可夫斯基度规是描述这种几何性质的数学工具。它定义了时空中的距离(或间隔),并将时间和空间结合在一起。具体来说,闵可夫斯基度规通过以下公式表示: 其中,( s ) 是时空间隔,( c ) 是光速,( t ) 是时间,( x )、( y )、( z ) 是空间坐标。这个公式表明,时间和空间是相互关联的,不能独立考虑。 在闵可夫斯基空间中,光锥是一个重要的概念。光锥描述了光在时空中的传播路径,定义了事件之间的因果关系。任何事件都位于其光锥内或光锥上,确保了因果关系的保持。 爱因斯坦的四维时空概念彻底改变了我们对宇宙的理解,揭示了时间和空间的相对性。
哲学时间: 哲学们并不满意科学的时间定义。他们提出了哲学的时间概念。 他们认为有两种时间概念,一种是科学的,一种是哲学的。 时间, 涉及更为抽象的概念,与存在、意识,变化、永恒,甚至生命有关。 哲学家,如海德格尔认为,这些科学理论在某种程度上忽略了对存在本身的思考,相对论在形而下的层面上的成功,掩盖了时间在形而上的层面上的本质,而他的哲学旨在探讨存在的问题。 [4][5] 爱因斯坦部分接受了哲学家们的意见。当时他的广义相对论已经诞生,提出了一个关于时间的双重观点。他认为,时间可以分为物理时间和心理时间。物理时间是客观的,可以通过科学仪器如时钟来测量。而心理时间则是个人的主观体验,是我们感知事件顺序和持续性的方式。在爱因斯坦看来,物理时间是科学研究的基础,而心理时间则属于个人感知的范畴。但爱因斯坦事件的核心思想依然是物理的。它认为,物理时间是外在的,可以通过科学仪器进行精确测量。相反,而内在的心理时间只不过是个人的经历和感受,以及如何在心理上处理事件的先后和持续性。这种区分反映了爱因斯坦作为物理学家的视角,以及他对时间的科学和主观体验的深刻的科学理解。 柏格森 [4] 则明确提出了一个截然不同的观点。他认为,时间不应该被简化为可以被时钟测量的序列。对柏格森而言,时间是连续的、不断流动的,它是生活的本质组成部分,是由我们的记忆、情感和经历构成的。柏格森强调,时间是一种更为复杂的现象,它超越了物理学的界限,触及了我们存在的核心。时间不仅仅是物理学中的一个维度,而是一种深刻的存在经验。科学的时间概念,尽管在技术和实用层面非常有用,但它简化了时间的真实本质,没有涵盖时间在个人和存在层面的全貌。爱因斯坦把时空结合起来,而柏格森把时间和人结合起来,有点类似中国哲学天人合一的概念。而自然科学的一个问题,正如我们所知道的,是把人,排除在科学之外的。 |
|
|
![]() |
![]() |
| 实用资讯 | |
|
|
| 一周点击热帖 | 更多>> |
| 一周回复热帖 |
| 历史上的今天:回复热帖 |
| 2023: | 地中海游记 古罗马斗兽场 | |
| 2023: | 伟大的苏联红军 | |
| 2022: | 为何美国参议院表决通过不承认中共国是 | |
| 2022: | 傅政华,王立军宣判,死缓无期。 | |
| 2021: | 三乘佛教的基本哲学和教理 | |
| 2021: | 【石涛】说2020美国大选作弊没有证据, | |
| 2020: | 中华妇女顶半边天,而美加的妇女撑起的 | |
| 2020: | 中共在联合国人权会议上多次拍桌抗议并 | |
| 2019: | 香港闹事的人都有钱发的。发钱被中共拍 | |
| 2019: | 事实比虚幻小说还离谱。 | |




