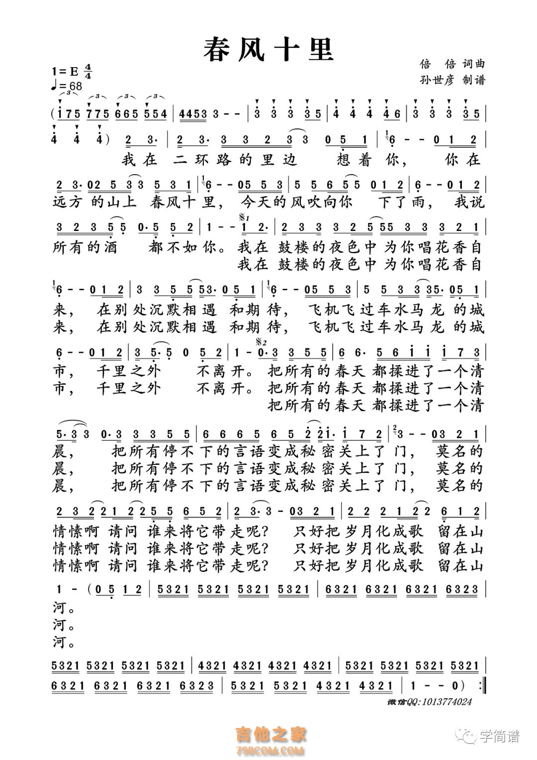
| 【情人节】《春风得意》填词歌曲春风十里 + 白头鹰情人照 |
| 送交者: queen 2026年02月13日18:00:08 于 [高山流水] 发送悄悄话 |
|
昨天拍摄的 一对白头鹰 ! |
|
![]() | ||||||||||||||
|
![]() |
| 实用资讯 | |
|
|
| 一周点击热帖 | 更多>> |
| 一周回复热帖 |
| 历史上的今天:回复热帖 |
| 2025: | **高山流水【金蛇喜迎春】合集 65首作 | |
| 2024: | 【龙飞凤舞】心言:【林海听涛】 | |
| 2024: | 【龙飞凤舞】《无锡景》刘牧 看看你能 | |
| 2023: | 京剧《野猪林》‘大雪飘扑人面’ | |
| 2023: | 《梅花泪》 刘牧 | |
| 2022: | 【天边飘来故乡的云】☆ 花儿 演唱 | |
| 2022: | 【福虎生旺】树烨子/中国狼《亚洲雄风 | |
| 2021: | 【金牛贺春】树烨子:武汉民谣《汉阳门 | |
| 2021: | 【金牛贺春】心言:《放马山歌》&《 | |












