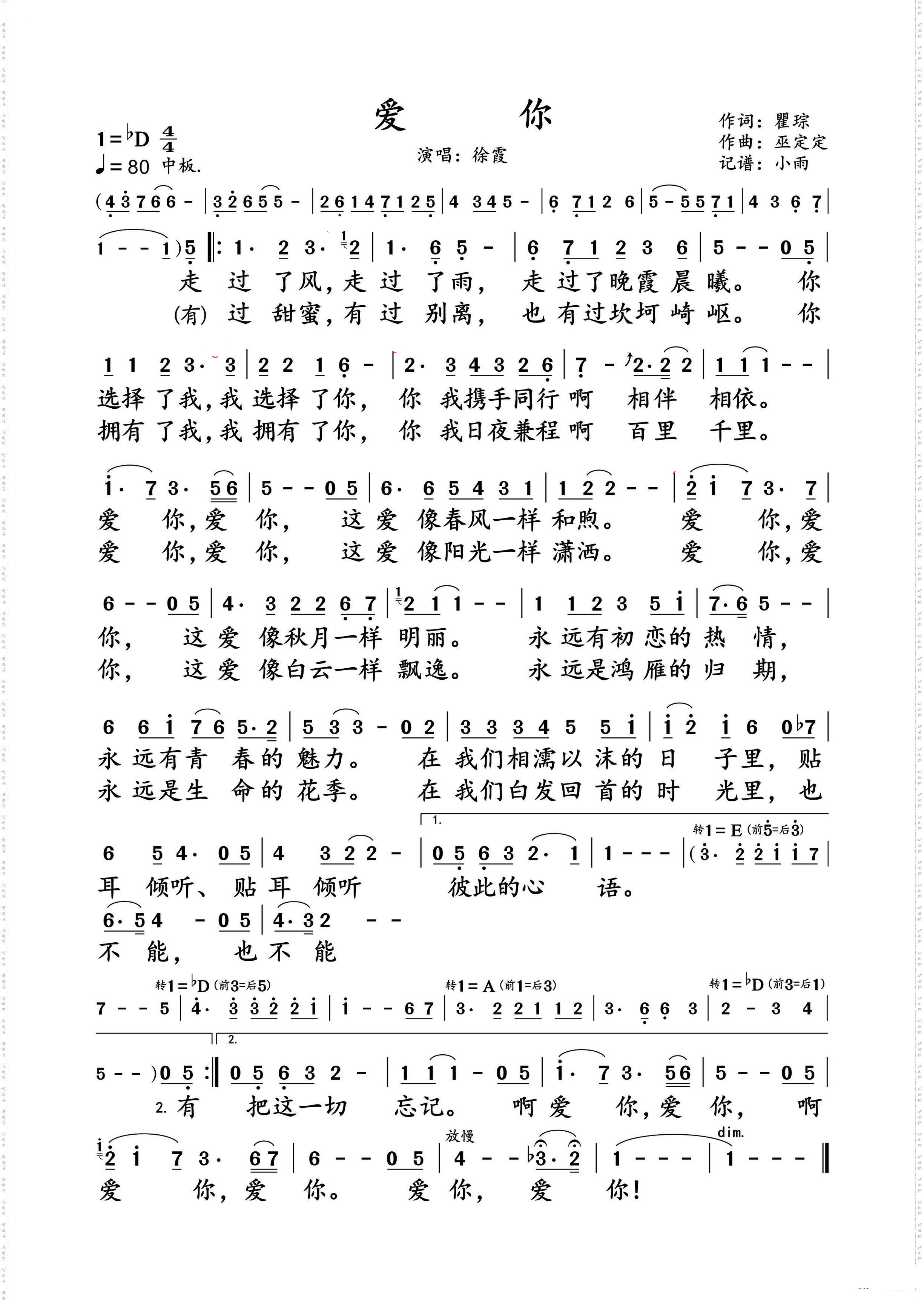
| 【高山馬年慶】海石:《愛你》 |
| 送交者: 海石 2026年04月27日16:27:42 於 [高山流水] 發送悄悄話 |
|
|
|
![]() | ||||||
|
![]() |
| 實用資訊 | |
|
|
| 一周點擊熱帖 | 更多>> |
| 一周回復熱帖 |
| 歷史上的今天:回復熱帖 |
| 2025: | 【金蛇狂舞20年山慶】萬湖小舟《是誰讓 | |
| 2025: | 【金蛇狂舞20年山慶】老地雷/水雲間: | |
| 2024: | 【高山龍年慶】《過往》海石 漁舟 演唱 | |
| 2024: | 【高山龍年慶】雨夜花 雨の夜の花 劉牧 | |
| 2023: | 【2023年高山年慶】說唱《再別康橋》 | |
| 2022: | 【藍綠PK】風之歌: 拜山帖 原創歌曲 - | |
| 2022: | 【藍綠PK】塞北雪 土風 二重唱《風吹麥 | |
| 2021: | 【高山年慶】樹燁子二重唱 《傳奇》 | |
| 2021: | 【高山年慶】雅歌一首:《紅酥手》陸游 | |






